2 メチル 1 プロパノール 脱水





脂肪族炭化水素 アルコールの反応 技術情報館 Sekigin アルコールの酸塩基反応 アルコキシドイオンとの塩 酸化剤 過マンガン酸カリウム クロロクロム酸ピリジニウムなど を用いた酸化反応 アルデヒド ケトン カルボン酸の生成 脱水反応として分子間

脂肪族炭化水素 アルコールの反応 技術情報館 Sekigin アルコールの酸塩基反応 アルコキシドイオンとの塩 酸化剤 過マンガン酸カリウム クロロクロム酸ピリジニウムなど を用いた酸化反応 アルデヒド ケトン カルボン酸の生成 脱水反応として分子間

2 メチル 1 プロパノールを穏やかに酸化させると 何が生成されますか 構造 Yahoo 知恵袋

2 メチル 1 プロパノールを穏やかに酸化させると 何が生成されますか 構造 Yahoo 知恵袋

脂肪族酸素化合物 アルコール エーテル ケトン

脂肪族酸素化合物 アルコール エーテル ケトン

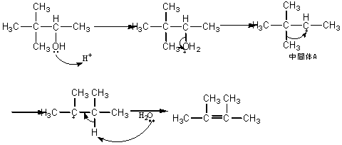
転移って何

転移って何

アルコール エーテル 一覧 違い 命名法 製法 反応 性質など 化学のグルメ

アルコール エーテル 一覧 違い 命名法 製法 反応 性質など 化学のグルメ

アルコール エーテル 一覧 違い 命名法 製法 反応 性質など 化学のグルメ

アルコール エーテル 一覧 違い 命名法 製法 反応 性質など 化学のグルメ

アルコール エーテル 一覧 違い 命名法 製法 反応 性質など 化学のグルメ

アルコール

アルコール

有機化学のオキテ13 14 医学部予備校レクサス教育センター

有機化学のオキテ13 14 医学部予備校レクサス教育センター

写真の 2 メチル1 プロパノール と2 ブタノール の見分け方というか Yahoo 知恵袋

写真の 2 メチル1 プロパノール と2 ブタノール の見分け方というか Yahoo 知恵袋

アルコール エーテル 高校化学 化学基礎一問一答 化学のグルメ

アルコール エーテル 高校化学 化学基礎一問一答 化学のグルメ

アルコールの価数と級数の違いと種類 名前の付け方は

アルコールの価数と級数の違いと種類 名前の付け方は

アルコール エーテル 一覧 違い 命名法 製法 反応 性質など 化学のグルメ

アルコール エーテル 一覧 違い 命名法 製法 反応 性質など 化学のグルメ

脂肪族酸素化合物 アルコール エーテル ケトン

脂肪族酸素化合物 アルコール エーテル ケトン

高校化学 アルコールの分子間脱水 映像授業のtry It トライイット

高校化学 アルコールの分子間脱水 映像授業のtry It トライイット

アルコールとエーテル

アルコールとエーテル

2 メチル 1 プロパノールの構造式は写真のものであっていますか 合 Yahoo 知恵袋

2 メチル 1 プロパノールの構造式は写真のものであっていますか 合 Yahoo 知恵袋

高校化学 主な有機化合物の反応系統図

高校化学 主な有機化合物の反応系統図

1 プロパノールの分子間脱水で生成する化学式を教えてください ちなみに問 Yahoo 知恵袋

1 プロパノールの分子間脱水で生成する化学式を教えてください ちなみに問 Yahoo 知恵袋

脂肪族酸素化合物 アルコール エーテル ケトン

脂肪族酸素化合物 アルコール エーテル ケトン

2 Kb47v J 3hmm

2 Kb47v J 3hmm

Source : pinterest.com